1 减小输入电流谐波的方法
1.1 三电平技术
当输入电压过零时,输入电流跟踪不上基准电流的相位Φc,输入电流与电压之间的相位差θ是产生过零畸变的根本原因。为了减小Φc,需要减小L,受电流纹波的限制,必须提高系统的开关频率;为了减小θ,需要减小 CZ、CP和L,这样会提高系统的截止频率,系统要保证稳定也需要相应地提高开关频率。三电平技术在不提高开关频率的前提下,等效开关频率提高了2倍,并减小电感到原来的1/4,即 LTLBoost = LBoost/4,这样可以有效减小高频输入时的Φc 。本文采用三电平变换器作为PFC变换器的拓扑 ,Boost三电平拓扑结构如图1所示。

为了验证该技术的正确性,笔者进行了实验验证,分别制作了一台1 kW Boost TL和Boost PFC变换器原理样机。实验参数:输入交流电压为Uin=115Vac±10% / 400—800 Hz;输出电压Uo=200 V;输出电流Io=5 A;TL Boost电感为LTLBoost =0.09 mH;Boost电感为LBoost =0.36 mH;TL Boost输出滤波电容Cf1=Cf2=2 400μF;Boost滤波电容Cf= 2400μF;开关频率为.fs=100 kHz。
图2为Boost PFC变换器在输入电压为115 V满载时,输入频率分别是400 Hz和800 Hz时的输人电压和电流波形。采用Boost TL PFC变换器,实验波形如图3所示。从图3可知,TL PFC变换器明显改善了输入电流的波形,电流谐波含量减小了。
1.2 数字控制技术
针对Boost PFC变换器输入电流过零畸变的原因,网络资料一种改善PFC变换器输入电流过零畸变的方法中提出了数字控制策略(如图4所示),来改善PFC输入电流过零畸变。通过在输入电压过零点检测输入电流值,根据所检测到的电流值来实时修正参考输入电压Ug( t),直到输入电流与输入电压同相位,从而减小输入电流的波形畸变。通过编程实现对参考输人电压信号相位的控制,而不需要对主电路做任何改动。

本文应用MATLAB的Simulink和Power-system Block工具箱对前文设计的回路与控制回路进行了仿真。输入交流频率为400 Hz时,Boost PFC变换器的输入电流波形和谐波分析如图5所示,由图5(a)、(b)可以看出,在输入交流频率为400 Hz时,所提出的数字控制方法大大改善了输入电流过零畸变,输入电流谐波由8.74%降至3.97%,有效地减小了输入电流谐波。

1.3 抵消超前相位导纳技术(LPAC)Boost PFC变换器输入电流过零畸变是由输人电流相位超前于输人电压引起的,并且输入电流相位超前是由于Y1(s)的存在,如果再并联一个导纳Y3(s),(如图6所示)使其等于-Y1(s),那么Y(s)=Y2(s),输入电流与输入电压就同相位。为了抵消Y1(s),在误差信号ieer处从输入端引入一个新的传递函数Hc(s),如图7所示。该方法的优势是可以利用现有的误差放大器来实现LPAC技术。则带LPAC技术的Boost PFC控制系统如图8所示,Hc(s)是补偿网络的一部分,Rc—Cc连接到电流环误差放大器的反相输人端,另一端通过增益hc连接到Ug,由式(2)和(4)得:Rc—Cc补偿网络可以应用到现有的PFC控制系统,并不需要重新设计。基于UCC3817控制的Boost PFC变换器与Rc—Cc补偿网络相连接的电路结构如图9所示,与图8所示电路相比较,需要加一个反相器,把ug信号连接到Rc—Cc电路。
从上述理论分析知,LPAC技术能完全消除输入过零畸变,并且硬件实现电路也很简单,在文中的第3节进行实验验证该方法的可行性。

2 三种方法的比较
上节分析了三种方法来改善输入电流过零畸变。通过上述的分析知:三电平技术在消除过零畸变,取得了一定的效果,但是电路结构比较复杂,并且需要对两个输出电容进行均压,控制较复杂,电路整个成本会增加,在工程应用中是不适合的;数字控制技术在仿真分析上是可以减小输入电流谐波,但是在硬件电路上实现也会很复杂,而且要大大增加电路的成本,同样在工程应用中是不适合的;对于LPAC技术来说,只要增加两个无源器件和一个反向器,就可以直接应用到现有的PFC控制系统,并不需要重新设计,第3节的实验验证了该方法的可行性,该方法可以应用到实际工程中。
3 采用LPAC技术的实验结果
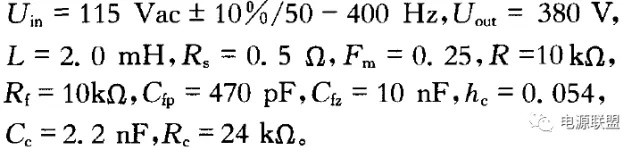
基于控制芯片UCC3817,设计并制作了一台输出100 W 的实验样机,主电路结构如图9所示。实验主要参数为:

实验波形如图10所示。图中,Ch1:输人电流波形(0.5A/div);Ch2:输入电压波形(50 V/div)。由图10(a)可以看出,未加LPAC补偿时,输人电流畸变非常明显;由图10(b)可以看出,加LPAC补偿后,输入电流畸变明显消失。由测得的实验数据表明,加LPAC补偿网络前后,变换器在满载时,输入电流谐波含量THD分别为6.5%,2.2%,补偿后的输入电流谐波含量能满足航空电源谐波标准。

4 结论
介绍了三种方法来改善输入电流过零畸变和减小输入电流谐波含量,重点介绍了LPAC技术来改善过零畸变。通过比较这三种方法,得出电流相位超前补偿技术在工程应用中是最适合的方法,并且基于控制芯片UCC3817,采用LPAC技术,设计并制作了一台实验样机。在输入电压频率为400 Hz时,实验结果表明,LPAC技术能明显减小过零畸变,输入电流谐波含量能满足航空电源谐波标准,证明了该方法的可行性。
版权声明:文章来源于/index.php?c=show&id=61,转载请注明出处!
上一篇:安装28.5v航空电源应注意8点
28v航空电源本身具有的原理
28v航空电源主要是利用现代的电力电子技 供民用飞机和军用飞机启动和机载设备通电检查使用 接下来介绍下航空电源具有的一些原理。1:28v航空电源的控制系统对检测的各种信号进行比较、计算、分析等处理后,再发出相应的控制指令,使直流稳压电源整体稳压系统工作正常可靠、协调。2:直流开关电源是输入端直接将交...